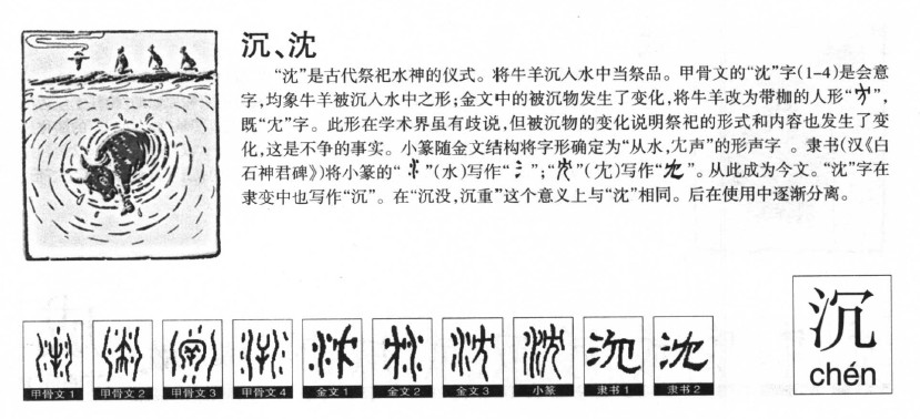
沉
沉字带声调的拼音/注音
chén ㄔㄣˊ
沉字笔顺
捺捺横捺折撇折 沉的笔顺
基本含义
● 沉 chén ㄔㄣˊ ◎ 没(mò)入水中,与“浮”相对:沉没。沉渣。沉浮(喻盛衰消长)。石沉大海。沉鱼落雁。静影沉璧。 ◎ 落下,陷入:沉陷。 ◎ 重量大:沉重。 ◎ 慎重,不轻浮:沉着(zhuó)。沉毅。 ◎ 深切长久,程度深:沉思。沉滞。沉吟。沉默。
反义词
浮
英文翻译
◎ 沉 deep heavy sink
详细解释
详细解释
详细字义◎ 沉 沈 chén 〈动〉 (1) (形声。从水,冘( yín)声。甲骨文字形,中间是牛,周围是水,表示把牛沉到水中。商代祭祀用牲的方法。本义:没入水中) (2) 同本义[sink] 沈,没也。——《广雅》 以狸沈祭山林川泽。——《周礼·大宗伯》。注:“川泽曰沈。” 泛泛杨舟,载沉载浮。——《诗·小雅·箐箐者莪》 皓月千里,浮光跃金,静影沉璧,渔歌互答,此乐何极!——宋· 范仲淹《岳阳楼记》 山河破碎风飘絮,身世浮沉雨打萍。——宋· 文天祥《过零丁洋》 (3) 又如:石沉大海;沉溺(沉没水中) (4) 埋没 [cover up;bury]。如:沉沦(埋没);沉压(沉抑;埋没) (5) 投水 [drown oneself in]。如:沉河(投河自尽);沉湘(指屈原沉入湘江支流汨罗江自尽) (6) 古代祭川泽曰沉。因向水中投祭品故名 [throw into river]。如:沉祠(古代祭水神之礼仪);沉辜(古代宰牲以祭川) (7) 沉迷,沉溺 [indulge;be given to] 寡人不祥,被于宗庙之祟,沉于谄谀之臣。——《战国策·齐策四》 细腰沉赵女。—— 杨敬之《客思吟》 我用沈酗于酒。——《书·微子》。传:“沈,湎也。” 沈酒冒色。——《书·秦誓上》 沈而乐者。——扬雄《法言·寡见》 (8) 又如:沉饮(沉迷于饮酒);沉酣(沉酒而酣适);沉乱(沉迷昏乱) (9) 隐伏;隐没 [lie concealed;lie low]。如:沉伏(隐伏);沉志(谓潜隐志向);沉汉(隐没);沉祟(隐伏的灾祸);沉晦(隐而不露);沉恶(隐伏的罪恶) (10) 降落、坠落 [fall;sink]。如:沉陨(坠落);沉坠(坠落);沉埃(落下的尘埃) (11) 沉沦;沦落 [sink into]。 如:沉人(沉沦在下的贤人);沉顿(沉沦顿踬) (12) 忍住,压制 [restrain;keep down]。如:沉住气;沉下心来词性变化 ◎ 沉 chén 〈名〉 (1) 山岭上凹处的积水 [water hole;paddy field] 除山川沈斥。——《汉书·刑法志》 (2) 古水名 [the Chen River]。 (3) 陕西省滪水的别名。 (4) 今四川省射洪县东南的杨桃溪,为涪江的支流 (5) 指沉香 [agalloch eaglewood]。如:沉速(檀香。因檀木质重速沉,故称);沉速香饼儿(用檀香作主要原料的一种盘香) ◎ 沉 chén 〈形〉 (1) 深 [deep]。如:沉泉(深泉);沉渊(指深渊。比喻险境;犹言没入深渊之中) (2) 深沉 [concealing one’s real feelings]。如:沉厚 (深沉而敦厚);沉潜(深沉而不轻浮);沉猜(深沉多疑) (3) 份量重,重 [heavy] 无苗时采,则实而沉。——宋· 沈括《梦溪笔谈·采草药》 (4) 又如:一头沉;沉枷(重枷,囚押重犯的大枷)。又指沉重,心思重重的。如:沉困 (沉重,困乏);沉纡(沉重迟缓);沉迟(沉重迟缓);沉悴(忧伤;衰颓;疲萎) (5) 病情严重的 [critical]。如:沉殆(谓病势沉重,生命危殆);沉病(重病;久病);沉疾(重病) (6) 沉着 [calm]。如:沉毅有守(沉着刚毅有主见) (7) 稳重 [steady]。如:沉默默(庄重、静默的样子);沉稳(稳重;安稳) (8) 低沉 [low and deep] 暮霭沉沉楚天阔。——宋· 柳永《雨霖铃》 (9) 如:沉冥(低沉冥寂);沉细(低沉细微);沉声(声调低沉) (10) 沉静 [quiet]。如:沉靖(沉静);沉详(沉静安详) (11) 沉闷 [depressing]。如:沉心(心里不愉快);沉屯(沉闷);沉菀(沉郁,郁结不舒) (12) 长久 [long-term;lasting]。如:沉委(谓久病委顿);沉雨(久雨);沉卧(久卧) ◎ 沉 chén 〈副〉 (1) 程度深 [deeply]。如:沉研(深入研究);沉究(深入研究) (2) 极,十分 [very]。如:沉悲(极度悲伤);沉窘(非常穷困)
在汉语字典中的意思
汉语字典
[①][chén][《廣韻》直深切,平侵,澄。][《廣韻》直禁切,去沁,澄。]亦作“沉1”。“湛1”的今字。(1)山岭上凹处的积水。(2)引申指水田。参见“沈斥”。(3)深。指由上到下或由外到内的距离大。(4)谓程度深。(5)分量重。(6)指感觉沉重。(7)谓色泽深;阴暗。(8)指脸色变得阴沉。(9)久远,时间长。(10)没入水中;沉没。(11)古代祭川泽曰沉。因向水中投祭品,故名。(12)降落,坠落。(13)沉沦;沦落。(14)低。低下。(15)低。俯下;垂下。(16)低沉;深沉。(17)沉溺;沉迷。(18)指沉浸。(19)隐伏;隐没。(20)中医学脉象名。指脉搏隐伏不显。(21)灭绝,消失。(22)方言。谓听觉失灵。(23)水中污泥。(24)通“淫”。荒淫。(25)通“淫”。放纵,恣肆。参见“沈蕩”。(26)通“湛”。清澈。(27)通“抌”。蛊惑;欺诈。(28)指沉香。参见“沈腦”、“沈檀”。[②][shěn][《廣韻》式荏切,上寑,書。](1)通“瀋”。汁液。(2)西周分封的诸侯国名。姬姓。一说姒姓。始封之君为周文王之子季载。在今河南平舆北。公元前506年为蔡所灭。(3)古代楚国县名。(4)姓。(5)“瀋1”的简化字。亦为沈阳市的简称。[③][tán]见“沈3沈”。
音韵参考
[广 韵]:直深切,下平21侵,chén,深開三平侵B澄[唐 音]:*djhim[国 语]:chén[粤 语]:cam4zam6[闽南语]:tim5
康熙字典
◎ 康熙字典解释 【巳集上】【水字部】 沉; 康熙笔画:8; 页码:页610第07【字彙】同沈。字源字形
